岭南主页
|
设为首页
|
加入收藏
|
站群导航
岭南主页
招生就业
招生信息网
创新创业专题网
学院
护理与健康学院
药学院
医学应用技术学院
经济管理学院
人工智能学院
数字媒体与艺术学院
智能制造学院
电子商贸学院
马克思主义学院
博雅教育学院
乡村振兴教育学院
书院
思诚书院
明德书院
知行书院
崇礼书院
砺能书院
笃学书院
弘毅书院
至善书院
党建
党委组织部
党政机构
质量监控中心
教师工作部和人事处(教师发展中心)
学生工作部
团委
校友会
教务处
保卫工作部
未指定
信息公开网
知崇礼卑,经世致用 | 今天是:
搜索
×
搜索过于频繁,请输入验证码
网站首页
走进崇礼
书院简介
学工团队简介
社区介绍
教师风采
社区风采
新闻资讯
党建团建
党组织架构
团学组织
党团活动
教育教学
创新创业
德育管理
资助育人
崇礼人物
教育资讯
办事大厅
院长信箱
联系我们
办公地址
常用表单下载专区
投诉与建议
您的位置:
首页
>
新闻资讯
>
详细内容
新闻资讯
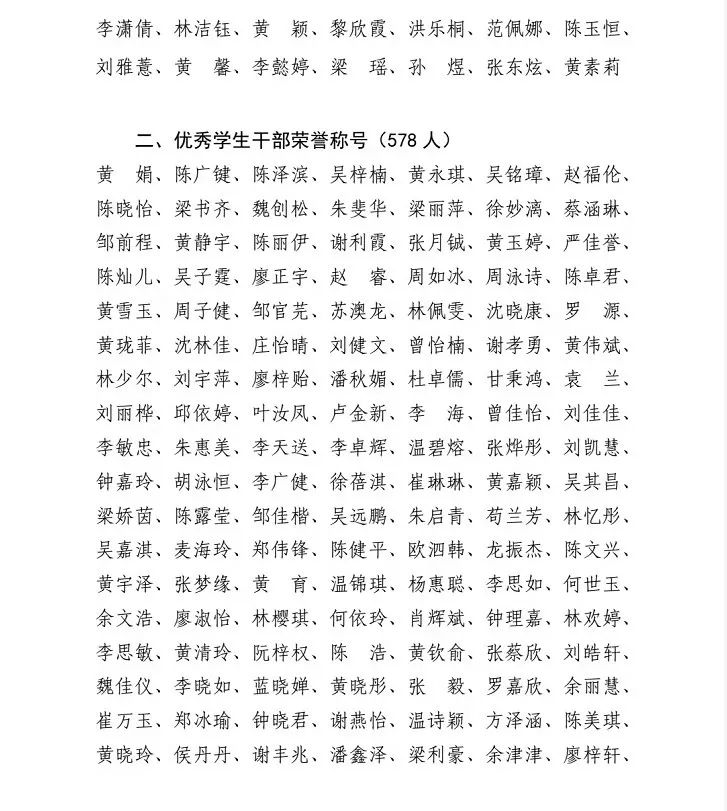
2020-2021学年度优秀学生、优秀学生干部获得者名单
来源:
发布时间:2022-03-09 13:17:43
浏览次数:
次
【字体:
小
大
】
终审:崇礼书院
分享到:
【打印正文】
×
用户登录
登 录
账号密码登录
成功登录后,
关闭浏览器前
24小时内
7天内
一个月内
始终
保持登录状态
忘记密码?
用户登录